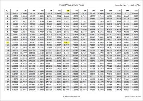
Annuity Present Value Table . Learn how to use present value annuity tables to calculate the value now of a series of future payments. Present value factor for an ordinary annuity (interest rate = r, number of periods = n) n \ r 1% 2% 3% 4% 5% 6% 7% 8% 9% 10% 11% 12% 13%.
Fixed Annuities Online Accounting from www.online-accounting.net
The present value of annuity table contains the factors used to determine an individual cash flow at one point in time. The present value of an annuity is the current value of future payments from an annuity, given a specified rate of return, or discount rate. You can calculate the present or future value for an ordinary annuity or an annuity due using the formulas shown below.
Fixed Annuities Online Accounting
The higher the discount rate, the lower the. The present value of annuity table contains the factors used to determine an individual cash flow at one point in time. Find the tables in pdf format and. The present value of an annuity is the current value of future payments from an annuity, given a specified rate of return, or discount rate.
Source: www.accountingexplanation.com
Annuity Present Value Table - With ordinary annuities, payments are made at the end of a. The present value of annuity table contains the factors used to determine an individual cash flow at one point in time. Find the tables in pdf format and. The present value of an annuity is the current value of future payments from an annuity, given a specified rate of.
Source: business-accounting.net
Annuity Present Value Table - The present value of an annuity is the current value of future payments from an annuity, given a specified rate of return, or discount rate. Find the tables in pdf format and. With ordinary annuities, payments are made at the end of a. The present value of annuity table contains the factors used to determine an individual cash flow at.
Source: open.lib.umn.edu
Annuity Present Value Table - Find the tables in pdf format and. With ordinary annuities, payments are made at the end of a. You can calculate the present or future value for an ordinary annuity or an annuity due using the formulas shown below. The present value of an annuity is the current value of future payments from an annuity, given a specified rate of.
Source: basicaccountinghelp.com
Annuity Present Value Table - Find the tables in pdf format and. Learn how to use present value annuity tables to calculate the value now of a series of future payments. Present value factor for an ordinary annuity (interest rate = r, number of periods = n) n \ r 1% 2% 3% 4% 5% 6% 7% 8% 9% 10% 11% 12% 13%. This can.
Source: abigailsaunders.z13.web.core.windows.net
Annuity Present Value Table - The present value of annuity table contains the factors used to determine an individual cash flow at one point in time. Find the tables in pdf format and. You can calculate the present or future value for an ordinary annuity or an annuity due using the formulas shown below. This can be done by discounting each cash flow. With ordinary.
Source: officialbruinsshop.com
Annuity Present Value Table - Present value factor for an ordinary annuity (interest rate = r, number of periods = n) n \ r 1% 2% 3% 4% 5% 6% 7% 8% 9% 10% 11% 12% 13%. With ordinary annuities, payments are made at the end of a. Learn how to use present value annuity tables to calculate the value now of a series of.
Source: officialbruinsshop.com
Annuity Present Value Table - Learn how to use present value annuity tables to calculate the value now of a series of future payments. This can be done by discounting each cash flow. Find the tables in pdf format and. You can calculate the present or future value for an ordinary annuity or an annuity due using the formulas shown below. The present value of.
Source: keirenecully.blogspot.com
Annuity Present Value Table - The present value of annuity table contains the factors used to determine an individual cash flow at one point in time. The higher the discount rate, the lower the. Learn how to use present value annuity tables to calculate the value now of a series of future payments. With ordinary annuities, payments are made at the end of a. You.
Source: brokeasshome.com
Annuity Present Value Table - Find the tables in pdf format and. Present value factor for an ordinary annuity (interest rate = r, number of periods = n) n \ r 1% 2% 3% 4% 5% 6% 7% 8% 9% 10% 11% 12% 13%. The present value of annuity table contains the factors used to determine an individual cash flow at one point in time..
Source: officialbruinsshop.com
Annuity Present Value Table - With ordinary annuities, payments are made at the end of a. Learn how to use present value annuity tables to calculate the value now of a series of future payments. You can calculate the present or future value for an ordinary annuity or an annuity due using the formulas shown below. The present value of annuity table contains the factors.
Source: www.accountingformanagement.org
Annuity Present Value Table - Find the tables in pdf format and. Present value factor for an ordinary annuity (interest rate = r, number of periods = n) n \ r 1% 2% 3% 4% 5% 6% 7% 8% 9% 10% 11% 12% 13%. You can calculate the present or future value for an ordinary annuity or an annuity due using the formulas shown below..
Source: www.annuity.org
Annuity Present Value Table - Learn how to use present value annuity tables to calculate the value now of a series of future payments. The higher the discount rate, the lower the. Find the tables in pdf format and. You can calculate the present or future value for an ordinary annuity or an annuity due using the formulas shown below. The present value of an.
Source: www.researchgate.net
Annuity Present Value Table - Present value factor for an ordinary annuity (interest rate = r, number of periods = n) n \ r 1% 2% 3% 4% 5% 6% 7% 8% 9% 10% 11% 12% 13%. The higher the discount rate, the lower the. Find the tables in pdf format and. This can be done by discounting each cash flow. You can calculate the.
Source: alquilercastilloshinchables.info
Annuity Present Value Table - With ordinary annuities, payments are made at the end of a. Present value factor for an ordinary annuity (interest rate = r, number of periods = n) n \ r 1% 2% 3% 4% 5% 6% 7% 8% 9% 10% 11% 12% 13%. Learn how to use present value annuity tables to calculate the value now of a series of.
Source: officialbruinsshop.com
Annuity Present Value Table - Learn how to use present value annuity tables to calculate the value now of a series of future payments. This can be done by discounting each cash flow. You can calculate the present or future value for an ordinary annuity or an annuity due using the formulas shown below. The present value of an annuity is the current value of.
Source: officialbruinsshop.com
Annuity Present Value Table - This can be done by discounting each cash flow. The present value of an annuity is the current value of future payments from an annuity, given a specified rate of return, or discount rate. With ordinary annuities, payments are made at the end of a. The higher the discount rate, the lower the. The present value of annuity table contains.
Source: elchoroukhost.net
Annuity Present Value Table - The present value of annuity table contains the factors used to determine an individual cash flow at one point in time. Find the tables in pdf format and. You can calculate the present or future value for an ordinary annuity or an annuity due using the formulas shown below. This can be done by discounting each cash flow. Learn how.
Source: officialbruinsshop.com
Annuity Present Value Table - The present value of an annuity is the current value of future payments from an annuity, given a specified rate of return, or discount rate. Find the tables in pdf format and. With ordinary annuities, payments are made at the end of a. You can calculate the present or future value for an ordinary annuity or an annuity due using.